All BASICSTANDARDADVANCED

Question 836

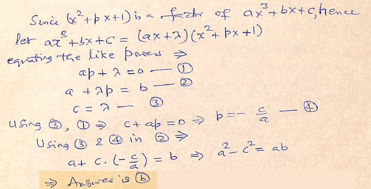
If x2 + px + 1 is a factor of the expression ax3 + bx + c then


a) a2 + c2 =  ab

b) a2 – c2 = ab

c) a2 – c2 =  ab

d) none of these

Your Answer

ABCD   CLEAR


×