All BASICSTANDARDADVANCED

Question 822

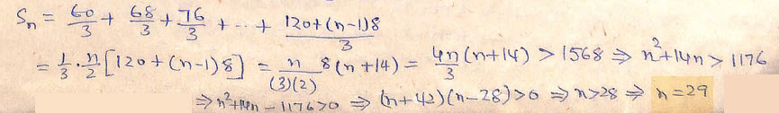
The minimum number of terms from the beginning of the series 20 + 22  + 25 + ……. so that the sum may exceed 1568, is


a) 25

b) 27

c) 29

d) 28

Your Answer

ABCD   CLEAR


×