All BASICSTANDARDADVANCED

Question 831

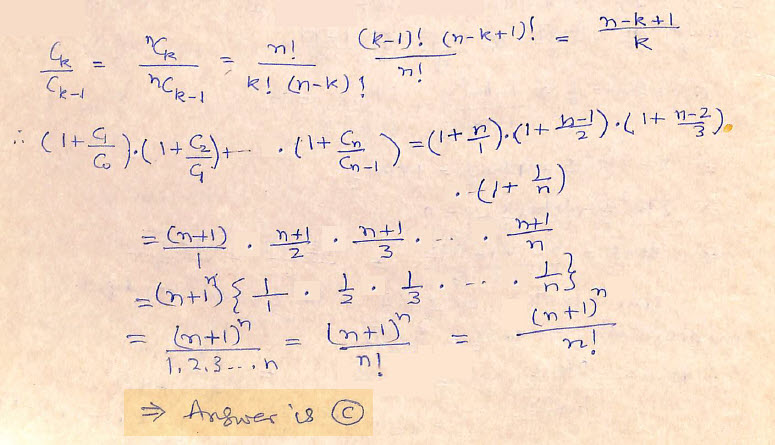
If ( 1 + x )n = nCr xr, then
( 1 +  ) . ( 1 +  ) .  .  .  . . ( 1 +  ) is equal to


a)

b)

c)

d)

Your Answer

ABCD   CLEAR


×