All BASICSTANDARDADVANCED

Question 819

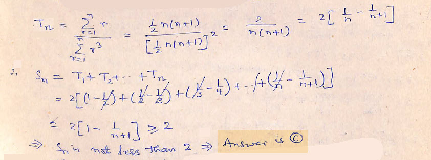
Let Sn =  +  +  . . . . . . . . . +  , n = 1, 2, 3 . . . . . .then Sn is not greater than


a)

b)

c) 2

d) 4

Your Answer

ABCD   CLEAR


×