All BASICSTANDARDADVANCED

Question 835

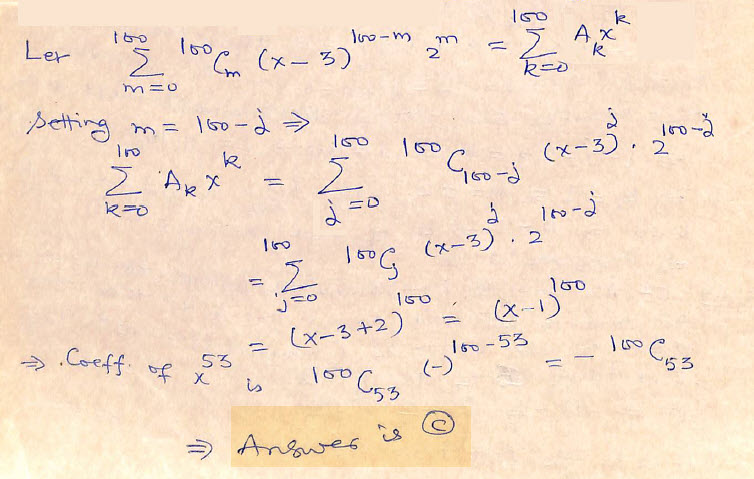
The coefficient of x53 in the following expansion
 100Cm (x – 3)100 – m 2m  is


a) 100C47

b) 100C53

c) – 100C53

d) – 100C100

Your Answer

ABCD   CLEAR


×