All BASICSTANDARDADVANCED

Question 817

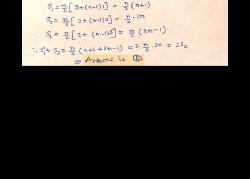
For n ε N, 10n -2 ≥ 81n if


a) n  >  5

b) n  ≥  5

c) n  <  5

d) n  >  8

Your Answer

ABCD   CLEAR


×