All BASICSTANDARDADVANCED

Question 827

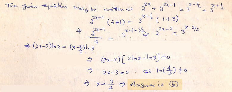
The value of x in the given equation 4x – 3x – ½ = 3x + ½ – 22x – 1 is


a)

b)

c)

d)

Your Answer

ABCD   CLEAR


×