All BASICSTANDARDADVANCED

Question 821

The question has four alternative choices, only one of which is the correct answer. Select one of them which is correct

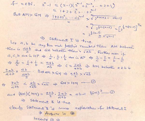
Statement I     for n ε N, 2n  > 1 + n
Statement II   GM > HM and (AM) (HM) = (GM)2


a) Statement I is false, Statement II is correct.

b) Statement I is true, Statement II is true. Statement II is a correct explanation for the statement.

c) Statement I is true, Statement II is true. Statement II is not a correct explanation for the statement.

d) Statement I is true, Statement II is false.

Your Answer

ABCD   CLEAR


×