All BASICSTANDARDADVANCED

Question 828

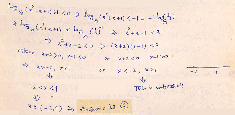
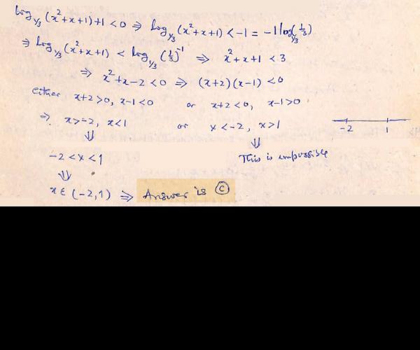
The solution set of the inequation
 +1 < 0  is


a) (, 2) ∪ (1, )

b) [1, 2]

c) (2, 1)

d) ()

Your Answer

ABCD   CLEAR


×