All BASICSTANDARDADVANCED

Question 829

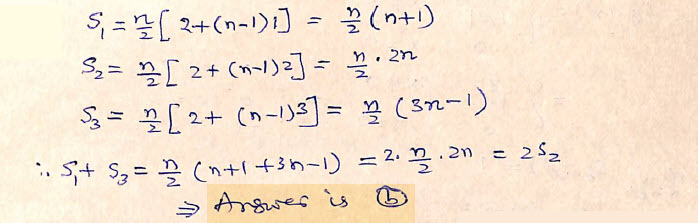
The sum of n terms of three Arithmetic Progressions whose first term is a and whose common difference are 1, 2, 3 are S1, S2, S3 respectively. The true relation is


a) S1 + S3 = S2

b) S1 + S3 = 2S2

c) S1 + S2 = 2S3

d) S1 + S2 = S3

Your Answer

ABCD   CLEAR


×