All BASICSTANDARDADVANCED

Question 984

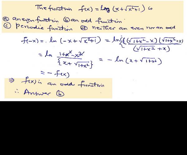
The function  is


a) An even function

b) An odd function

c) A periodic function

d) Neither an even nor an odd function

AIEEE 2003

Your Answer

ABCD   CLEAR


×