All BASICSTANDARDADVANCED

Question 977

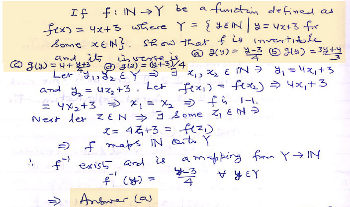
If  be a function defined as  where  . Show that f is invertible and its inverse is


a)  

b)  

c)  

d)  

AIEEE 2008

Your Answer

ABCD   CLEAR


×