All BASICSTANDARDADVANCED

Question 963

True / False

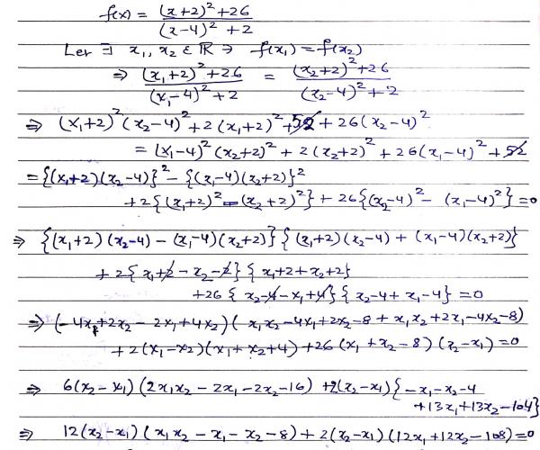
The function f (x) =  is not one to one.


a) True

b) False

IIT 1983

Your Answer

AB   CLEAR


×