All BASICSTANDARDADVANCED

Question 983

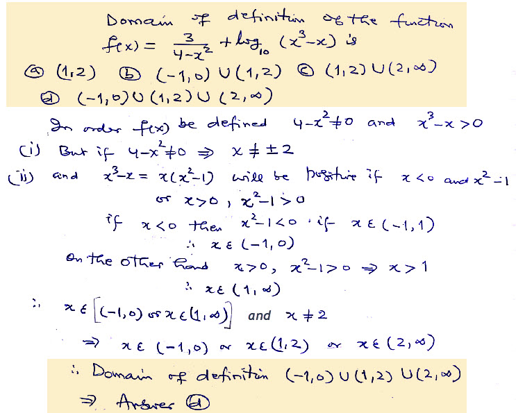
Domain of definition of the function  is


a)

b)

c)  

d)

AIEEE 2003

Your Answer

ABCD   CLEAR


×