All BASICSTANDARDADVANCED

Question 975

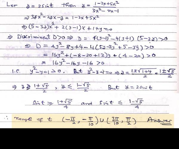
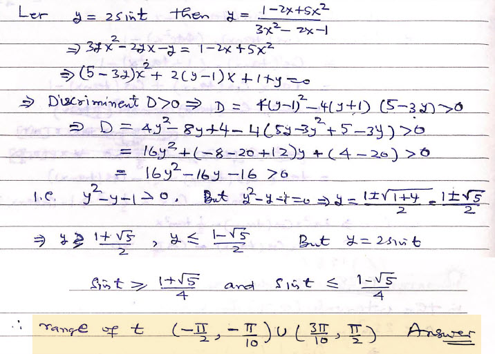
Find the range of values of t for which  


a) (−, −)

b) ( ,  )

c) (− , −  ) U ( ,  )

d) (−,  )

IIT 2005

Your Answer

ABCD   CLEAR


×