All BASICSTANDARDADVANCED

Question 967

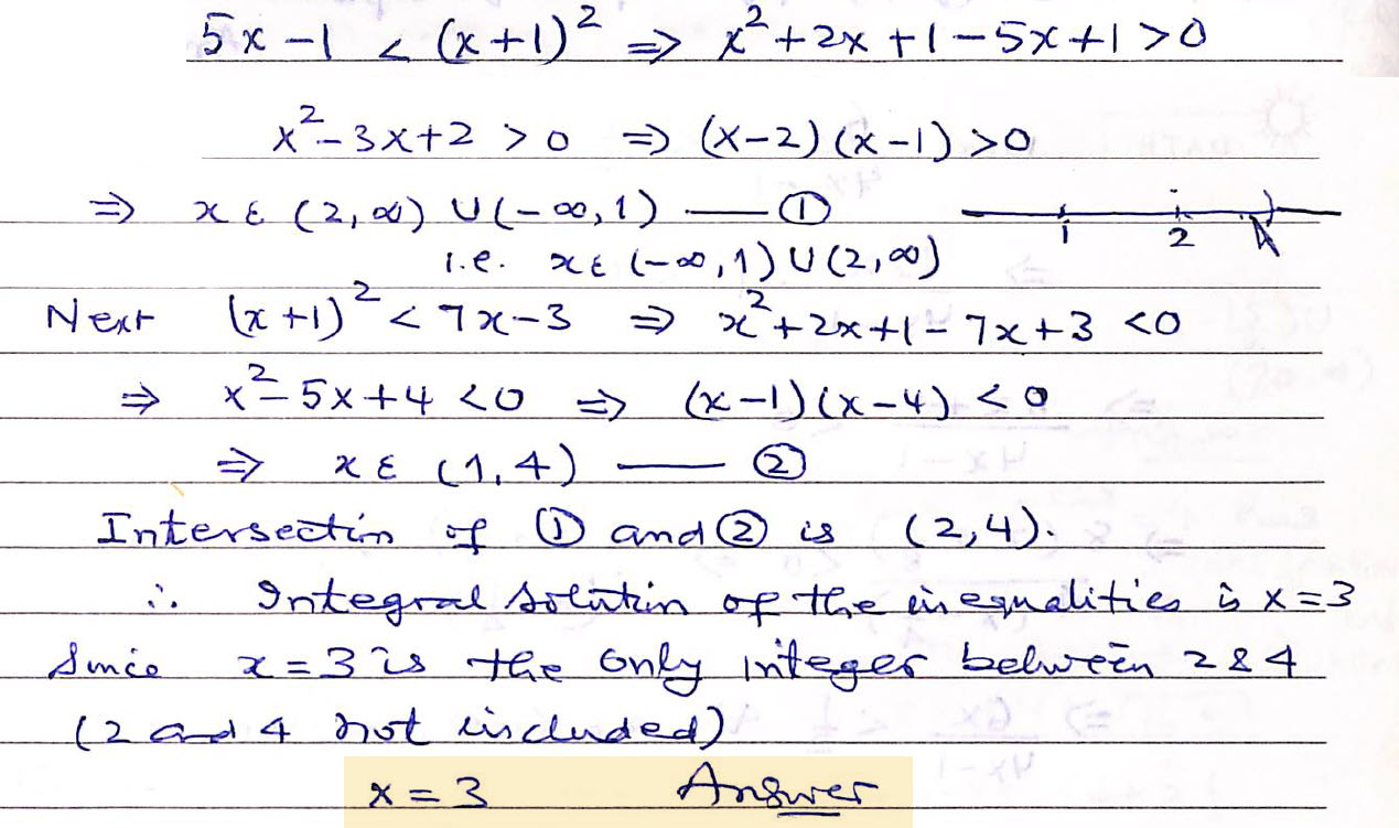
Find the integral solutions of the following system of inequality
 


a) x = 1

b) x = 2

c) x = 3

d) x = 4

IIT 1979

Your Answer

ABCD   CLEAR


×