All BASICSTANDARDADVANCED

Question 974

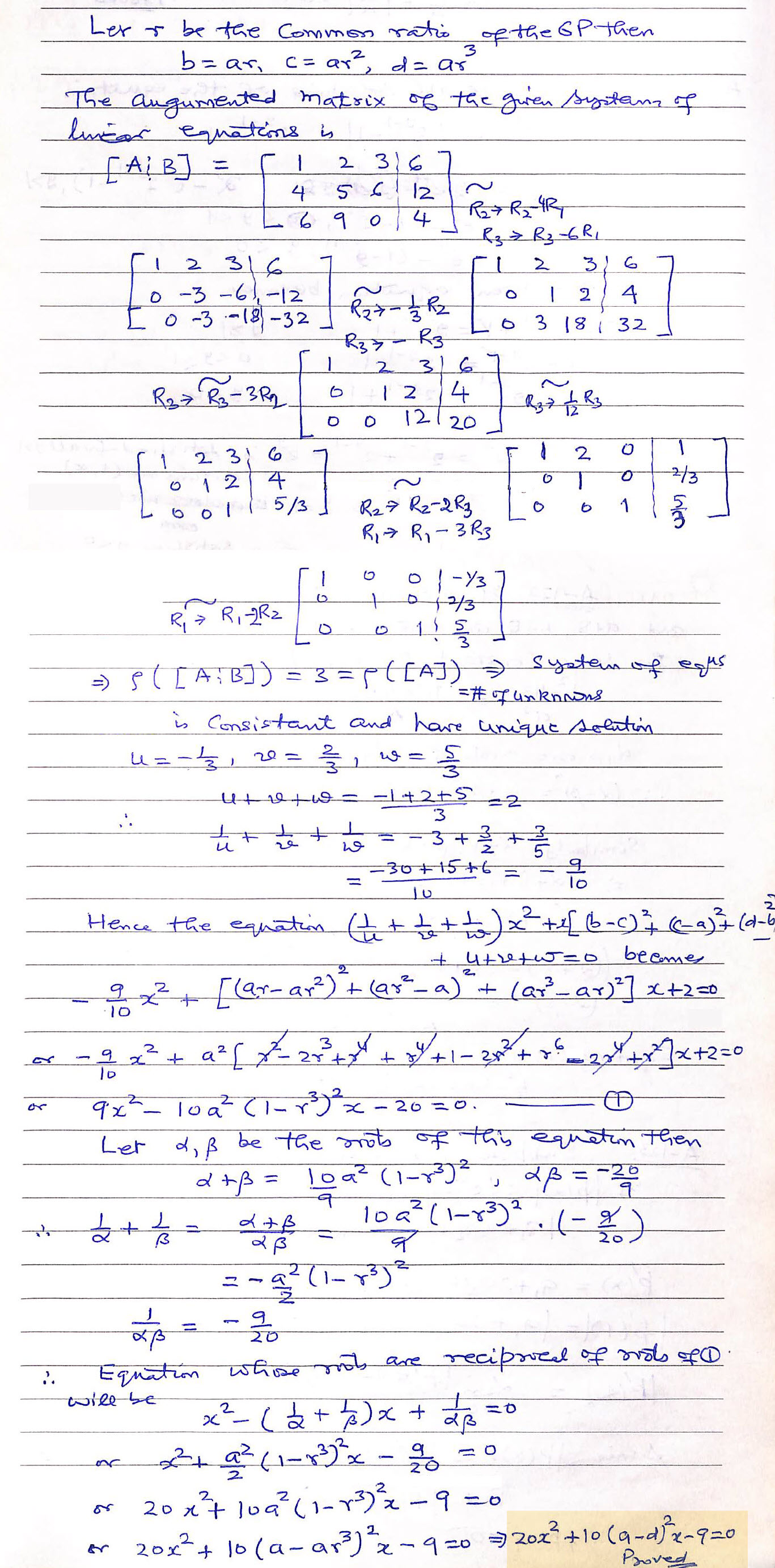
Let a, b, c, d be real numbers in geometric progression. If u, v, w satisfy the system of equations

 
 
 
Then show that the roots of the equation
 
 
and  are reciprocal of each other.

IIT 1999

My Self Assessment

  CLEAR


×