All BASICSTANDARDADVANCED

Question 953

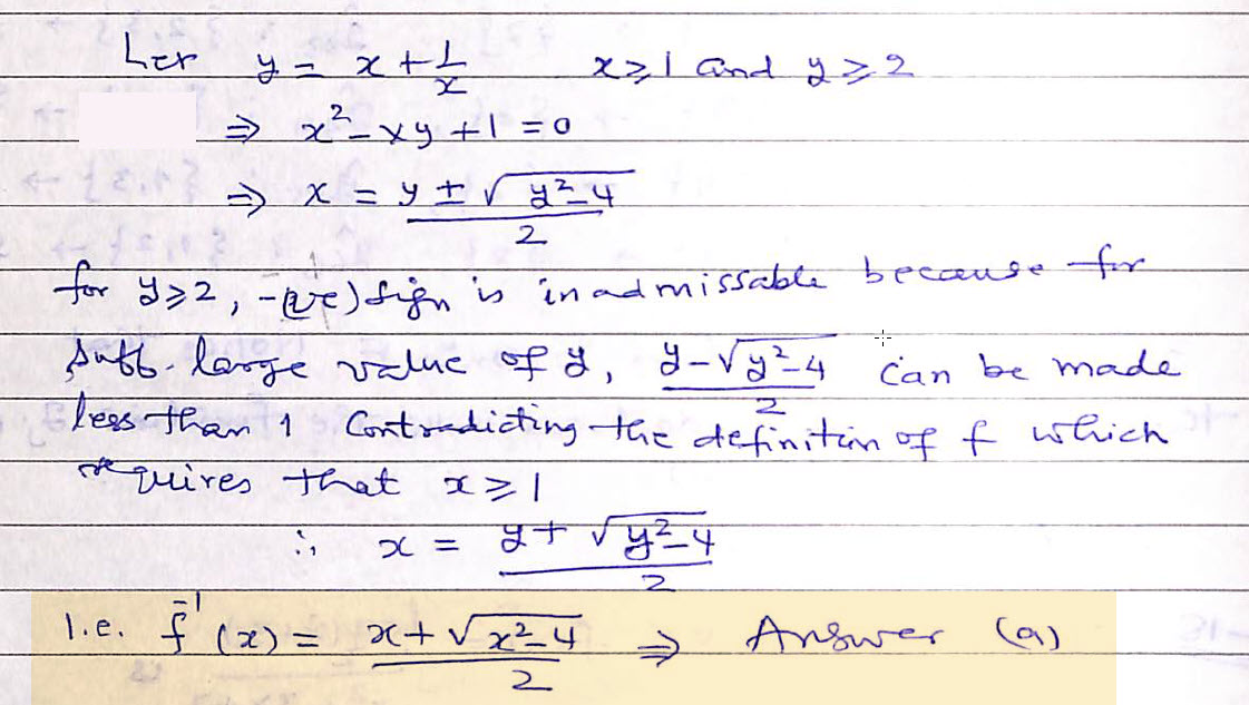
If f : [ 1,  → [ 2, ] is given by f (x) = x +  then ( x ) is given by


a)

b)

c)

d) 1 +

IIT 2001

Your Answer

ABCD   CLEAR


×