All BASICSTANDARDADVANCED

Question 946

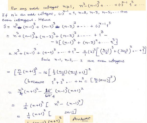
For any odd integer n ≥ 1,
n3 – (n – 1)3 + .  .  . + (−)n – 1 13 = .  .  .

IIT 1996

My Self Assessment

  CLEAR


×