All BASICSTANDARDADVANCED

Question 941

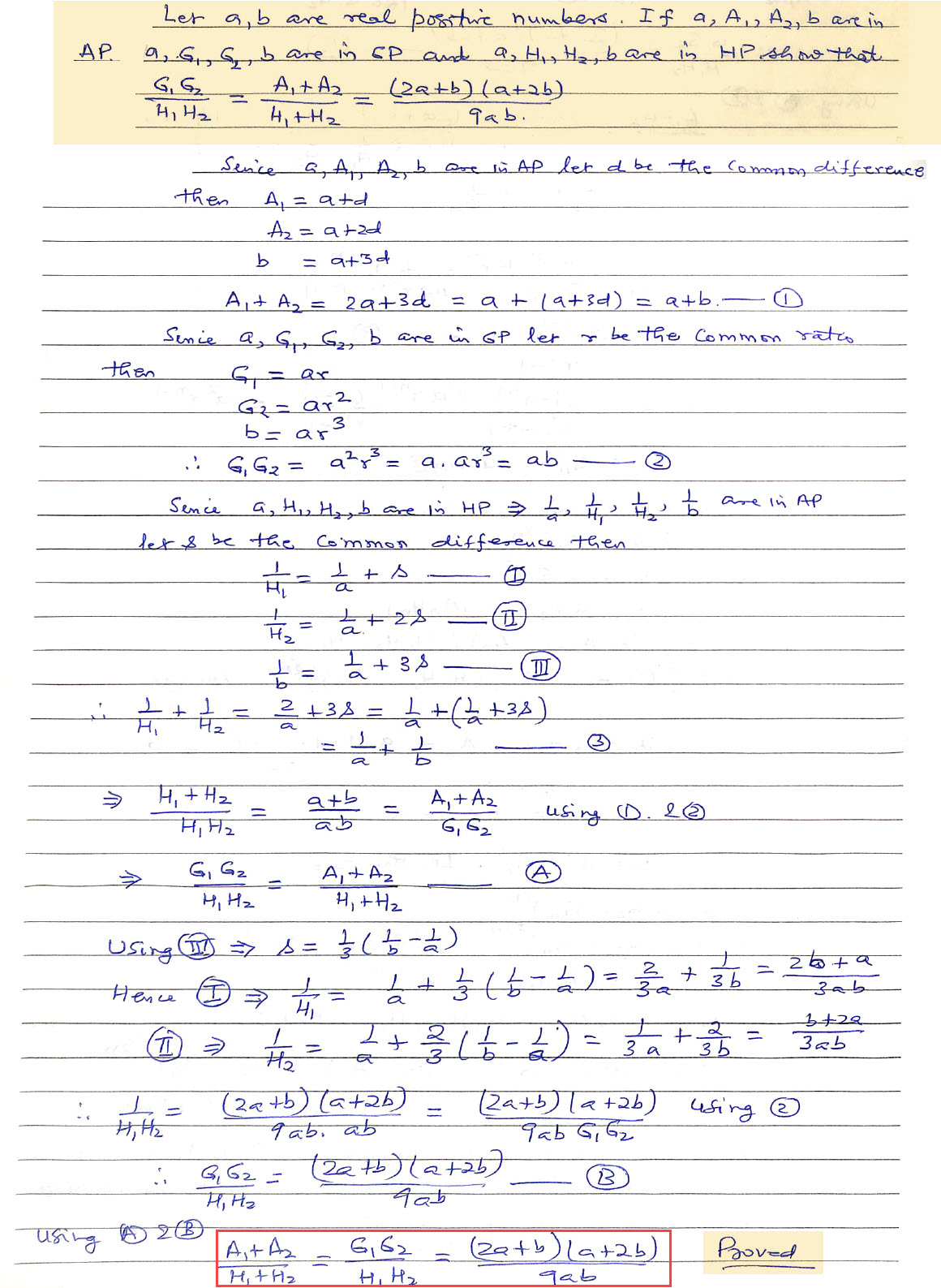
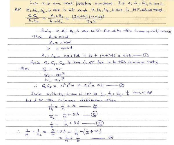
Let a, b are real positive numbers. If a, A1, A2, b are in Arithmetic Progression, a, G1, G2, b are in Geometric Progression and a, H1, H2, b are in Harmonic Progression show that
 

IIT 2002

My Self Assessment

  CLEAR


×