All BASICSTANDARDADVANCED

Question 948

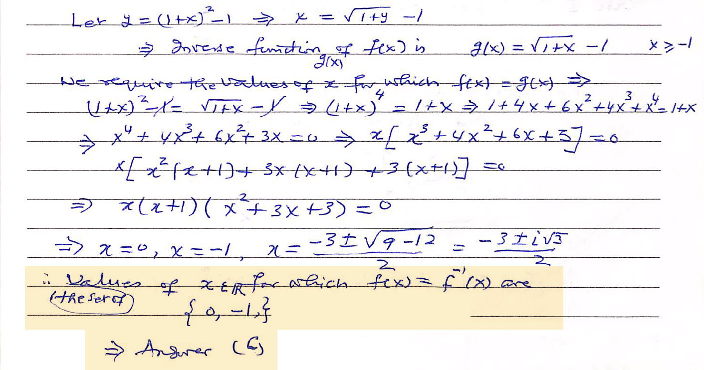
Let f(x) = (x + 1)2 – 1, x ≥ −1 then the set {x : f(x) = f-1(x)} is


a)

b) { 0, 1, −1}

c) {0, −1}

d) Ф

IIT 1995

Your Answer

ABCD   CLEAR


×