All BASICSTANDARDADVANCED

Question 947

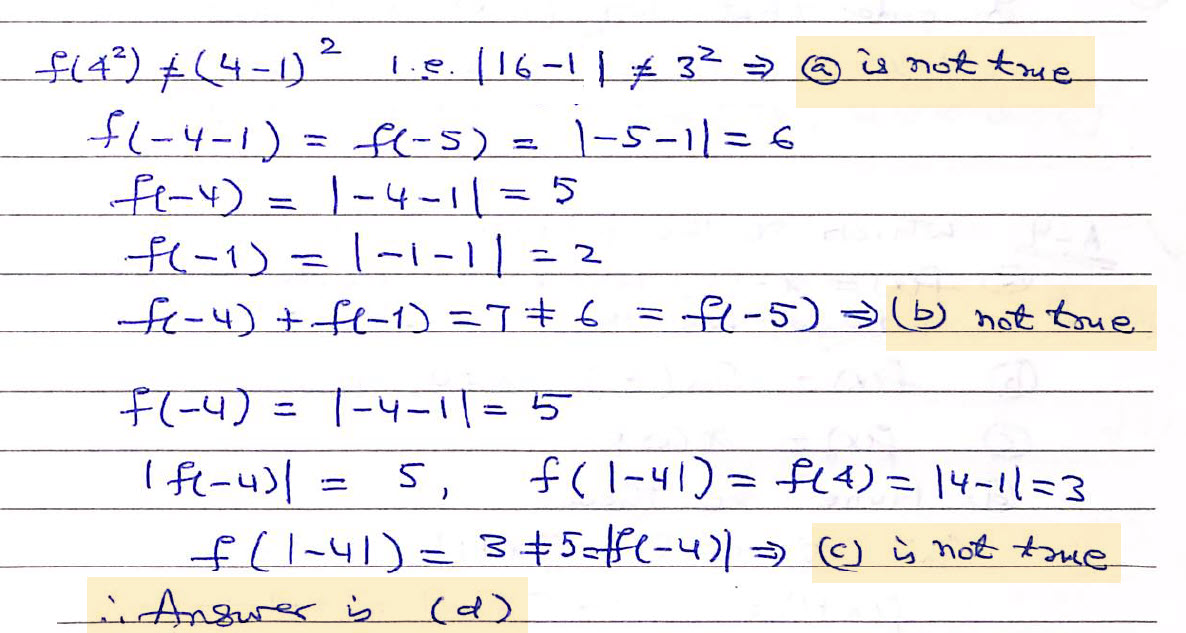
Let f (x) = |x – 1| then


a) f (x2) = |f (x)|2

b) f (x + y) = f (x) + f (y)

c) f () = |f (x)|

d) None of these

IIT 1983

Your Answer

ABCD   CLEAR


×