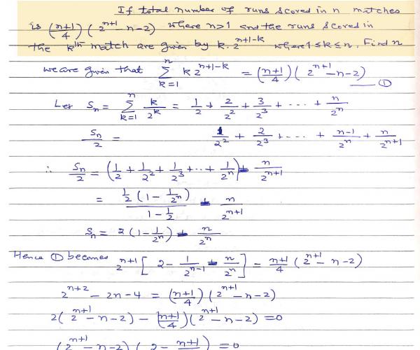
Let a1, a2, … an be positive real numbers in Geometric Progression. For each n let An, Gn, Hn be respectively the arithmetic mean, geometric mean and harmonic mean of a1, a2, . . . ., an. Find the expressions for the Geometric mean of G1, G2, . . . .Gn in terms of A1, A2, . . . .,An; H1, H2, . . . .Hn