All BASICSTANDARDADVANCED

Question 1000

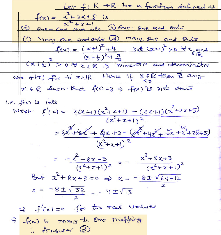
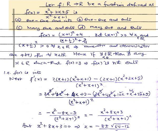
Let  be a function defined as  is


a) One–one and into

b) One–one and onto

c) Many one and onto

d) Many one and into

Your Answer

ABCD   CLEAR


×