All BASICSTANDARDADVANCED

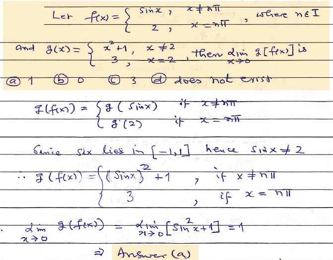
Question 997

Let
and

then


a) 1

b) 0

c) 3

d) does not exist

Your Answer

ABCD   CLEAR


×