All BASICSTANDARDADVANCED

Question 998

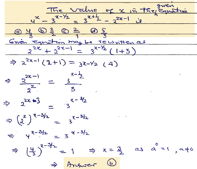
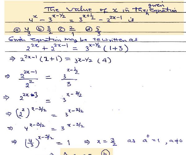
The value of x in the given equation  is


a)

b)

c)

d)

Your Answer

ABCD   CLEAR


×