All BASICSTANDARDADVANCED

Question 994

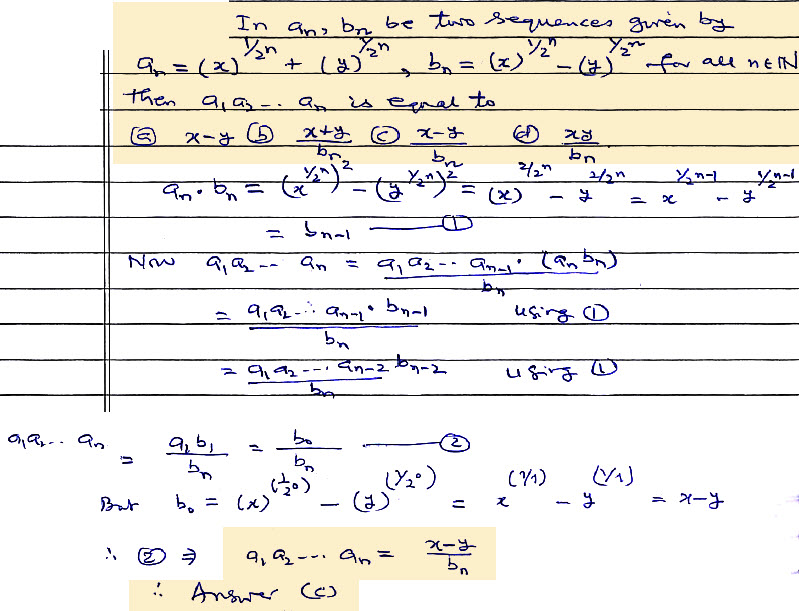
If  be two sequences given by  for all n  then  is equal to


a)

b)

c)

d)

Your Answer

ABCD   CLEAR


×