All BASICSTANDARDADVANCED

Question 888

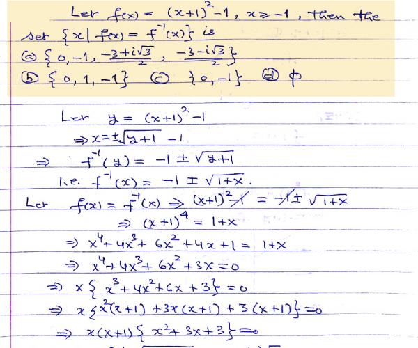
Let , then the set  is


a)  

b)  

c)  

d)  ϕ

IIT 1995

Your Answer

ABCD   CLEAR


×