All BASICSTANDARDADVANCED

Question 870

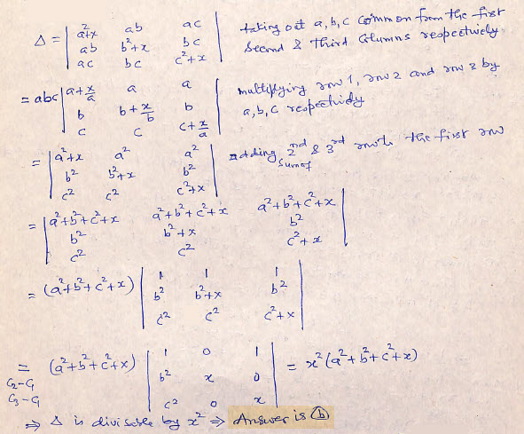
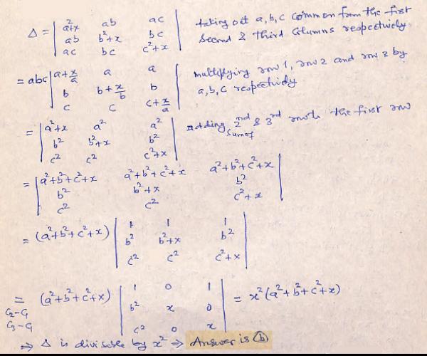
If a, b, c are positive integers, then the determinant
Δ =  is divisible by


a) x3

b) x2

c) a2 + b2 + c2

d) none of these

Your Answer

ABCD   CLEAR


×