All BASICSTANDARDADVANCED

Question 874

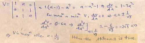
For a = + , the volume of the parallelepiped formed by the vectors î + aĵ, aî + ĵ + k̂ and ĵ + ak̂ is maximum


a) True

b) False

Your Answer

AB   CLEAR


×