All BASICSTANDARDADVANCED

Question 886

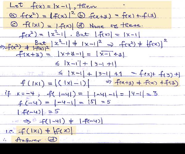
Let f(x) = |x – 1|, then


a)

b)

c)

d) None of these

IIT 1983

Your Answer

ABCD   CLEAR


×