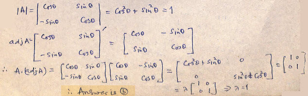
Let A =
and B =
, a, b ε ℕ. Then
a) There exist more than one but finite number of B’s such that
AB = BA
b) There exist exactly one B such that AB = BA
c) There exist infinitely many B’s such that AB = BA
d) There cannot exist any B such that AB = BA