All BASICSTANDARDADVANCED

Question 843

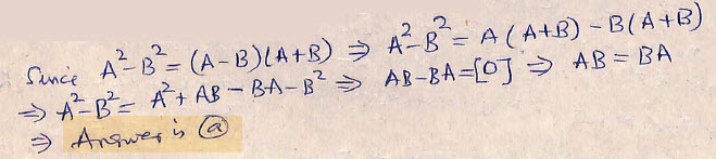
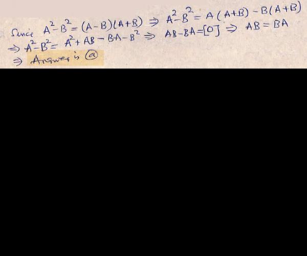
If A and B are square matrices of side n x n such that A2 – B2 = (A – B) (A + B) then which of the following will always be true


a) AB = BA

b) Either A or B is a zero matrix

c) Either A or B is an identity matrix

d) A = B

AIEEE 2006

Your Answer

ABCD   CLEAR


×