All BASICSTANDARDADVANCED

Question 860

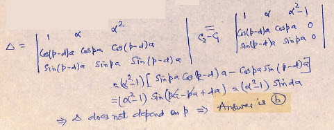
The arbitrary constant on which the value of the determinant
 
does not depend is


a) α

b) p

c) d

d) a

Your Answer

ABCD   CLEAR


×