All BASICSTANDARDADVANCED

Question 855

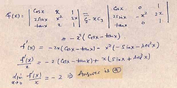
If f(x) =   then

   is


a) -2

b)  -1

c) 2

d) 1

Your Answer

ABCD   CLEAR


×