All BASICSTANDARDADVANCED

Question 1027

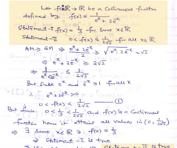
Let f : ℝ  ℝ be a continuous function defined by  
Statement 1:   for some
Statement 2:   for all
 


a) Statement 1 is true. Statement 2 is a correct explanation of statement 1.

b) Statement 1 is true. Statement 2 is true. Statement 2 is not a correct explanation of statement 1.

c) Statement 1 is true. Statement 2 is false.

d) Statement 1 is false. Statement 2 is true.

AIEEE 2010

Your Answer

ABCD   CLEAR


×