All BASICSTANDARDADVANCED

Question 1011

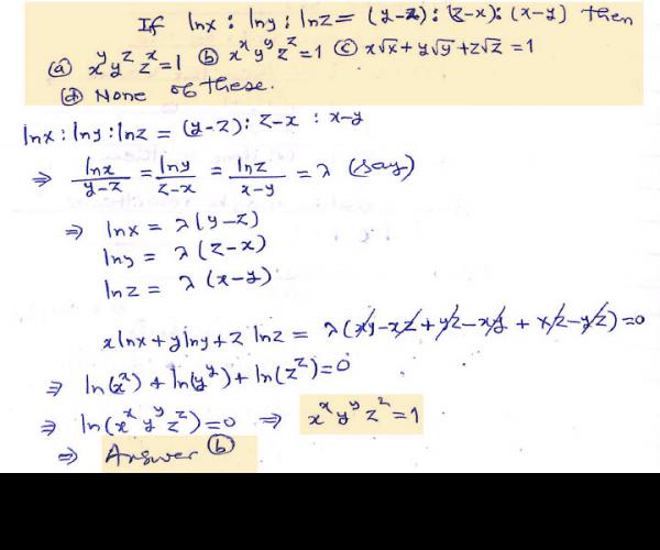
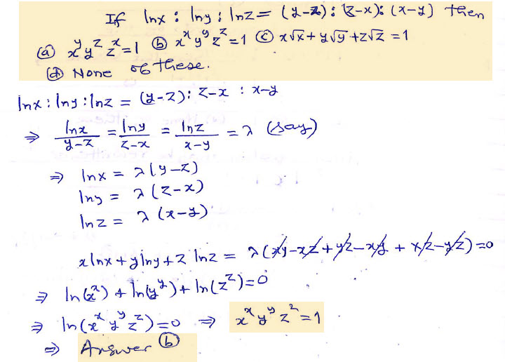
If  then


a)

b)

c)

d) None of these

Your Answer

ABCD   CLEAR


×