All BASICSTANDARDADVANCED

Question 1016

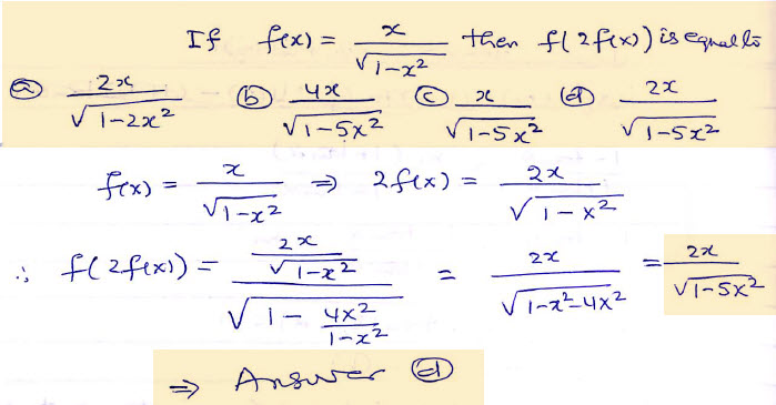
If  then  is equal to


a)  

b)  

c)  

d)  

Your Answer

ABCD   CLEAR


×