All BASICSTANDARDADVANCED

Question 1015

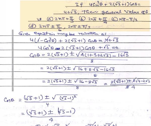
If then general value of  is


a)

b)

c)

d)

Your Answer

ABCD   CLEAR


×