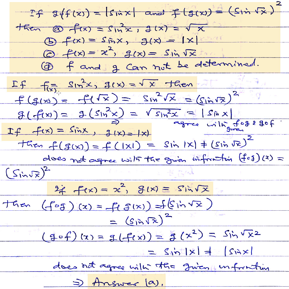
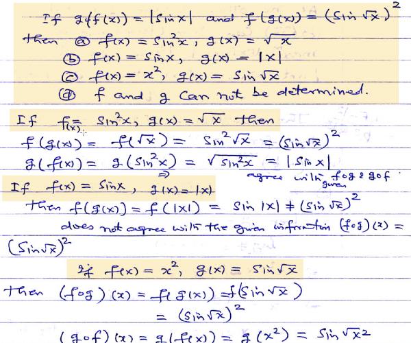
If then
a)
b)
c)
d) f and g cannot be determined
Your Answer
Let f(x) be defined for all x > 0 and be continuous. If f(x) satisfies for all x, y and f(e)=1 then
a) f(x) is bounded
c) x f(x) → 1 as x → 0
d) f(x) = lnx
If , for every real number x, then the minimum value of f
a) does not exist because f is unbounded
b) is not attained even though f is bounded
c) is equal to 1
d) is equal to –1
If f(x) = 3x – 5 then
a) is given by
b) is given by
c) does not exist because f is not one-one
d) does not exist because f is not onto
The number of values of x where the function attains its maximum is
a) 0
b) 1
c) 2
d) infinite
The function is defined by then is
d) None of these
The domain of the definition of the function y given by the equation is
a) 0 < x < 1
b) 0 ≤ x ≤ 1
c) ∞ < x ≤ 0
d) ∞ < x ≤ 1
The domain of definition of is
d)
If f : [1, ∞) → [2, ∞) is given by then equals
Let f(x) = , x ≠ then for what value of α, f(f(x)) = x
Suppose for x ≥ . If g(x) is the function whose graph is the reflection of f(x) with respect to the line y = x then g(x) equals
Let f : ℝ → ℝ be defined by f(x) = 2x + sinx for all x ℝ. Then f is
a) One to one and onto
b) One to one but not onto
c) Onto but not one to one
d) Neither one to one nor onto
If and then f is
a) One-one and onto
b) One-one but not onto
c) Onto but not one-one
d) Neither one-one nor onto
Domain of definition of the function for real values of x is
Range of ; x ℝ is
a) (1, ∞)
If and Then f – g is
a) Neither one to one nor onto
b) One to one and onto
c) One to one and into
d) Many one and onto
Subjective problems Let . Find all real values of x for which y takes real values.
a) [− 1, 2)
b) [3, ∞)
c) [− 1, 2) ∪ [3, ∞)
d) None of the above
Let f be a one–one function with domain {x, y, z} and range {1, 2, 3}. It is given that exactly one of the following statements is true and remaining statements are false f (1) = 1, f (y) ≠ 1, f (z) ≠ 2. Determine
Let R be the set of real numbers and f : R → R be such that for all x and y in R, . Prove that f(x) is constant.
Find the natural number a for which where the function f satisfies the relation f(x + y) = f(x) f(y) for all natural numbers x and y and further f(1) = 2.
Let {x} and [x] denote the fractional and integral part of a real number x respectively. Solve 4{x} = x + [x]
Let where A, B, C are real numbers. Prove that if f(n) is an integer whenever n is an integer, then the numbers 2A, A + B and C are all integers. Conversely prove that if the numbers 2A, A + B and C all integers then f(n) is an integer whenever n is an integer.
If where a > 0 and n is a positive integer then f(f(x)) = x.
a) True
b) False
If f1(x) and f2(x) are defined by domains D1 and D2 respectively then f1(x) + f2(x) is defined as on D1 ⋂ D2