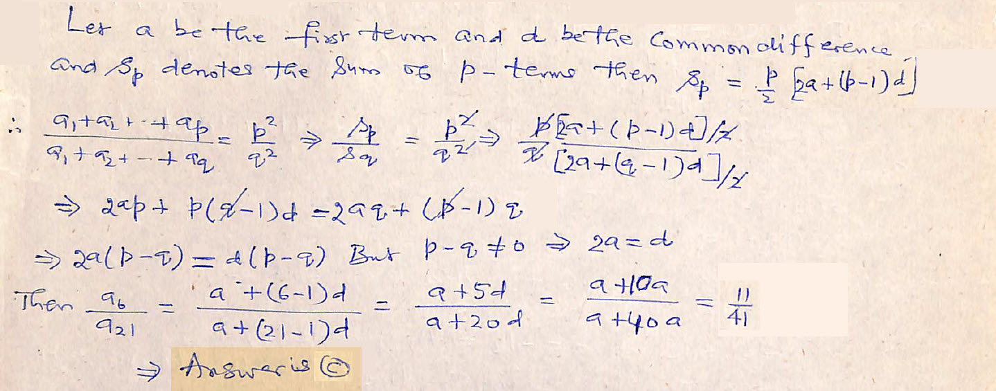
Let a1, a2, a3 ………. be terms of an arithmetic progression. If = , p ≠ q then equals
a)
b)
c)
d)
Your Answer
The first two terms of a geometric progression add up to 12. The sum of the third and the fourth terms is 48. If the terms are alternately positive and negative the first term is
a) 4
b) -4
c) -12
d) 12
In a geometric progression consisting of positive terms, each term equals the sum of the next two terms. Then the common ratio of the progression equals
If p and q are positive numbers such that p2 + q2 = 1 then the maximum value of p + q is
a) 2
Let a1, a2, a3 . . . . an be in harmonic progression then the expression a1a2 + a2a3 + . . . .+ an – 1an is equal to
a) (n – 1)( − )
b) n
c) (n −1)
d) n( − )
If x = , y = , z = where a, b, c are in arithmetic progression and |a| < 1, |b| < 1, |c| < 1, then x, y and z are in
a) Harmonic Progression
b) Arithemetico–Geometric Progression
c) Arithmetic Progression
d) Harmonic Progression
The sum of the series + . . . . is
Let Tr be the rth term of an AP whose first term is a and common difference is d. If for some positive integers m, n, m ≠ n, Tm = and Tn = then a – d equals
a) 0
b) 1
The sum of the first n terms of the series 12 + 2.22 + 32 + 2.42 + 52 + 2.62 + … is when n is even. When n is odd the sum is
The sum of the series …… is
The sum of the series …… up to is equal to
a) 2ln2
b) ln2 1
c) ln2
d) ln
The value of 21/4 . 41/8 . 81/16 . . . . .is
b) 2
d) 4
Fifth term of a geometric progression is 2 then the product of its 9 terms is
a) 256
b) 512
c) 1024
d) None of these
is equal to
a) lnx
b) x
a) ln(x – 1)
b) lnx
c) x
If α and β are roots of the equation x2 – x + 1 = 0 then α2009 + β2009 is equal to
a) -2
b) -1
c) 1
d) 2
If roots of the equation bx2 + cx + a = 0 be imaginary then for all real values of x the expression 3b2x2 + 6bcx + 2c2 is
a) Greater than 4ab
b) Less than 4ab
c) Greater than 4ab
d) Less than 4ab
The sum to infinity of the series 1 + + + + + ………. is
a) 3
b) 4
c) 6
If α, β are roots of ax2 + bx + c = 0 then 1/(x – α) is
a) log |a (α – β)|
b) ea(β – α)
c) ea(α – β)
If the system of linear equations
x + 2ay + az = 0 x + 3by + bz = 0 and x + 4cy + cz = 0 has a non zero solution, then a, b, c
a) are in arithmetic progression
b) are in geometric progression
c) are in harmonic progression
d) satisfy a + 2b + 3c = 0
If an, bn be two sequences given by an =, bn = for all n ε ℕ. Then a1 . a2 . . an is equal to
a) x – y
If one root of the equation (1 + i) x2 – (7 + 3i) x + 6 + 8i = 0, where i = is 4 – 3i, then the other root must be
a) 1 – i
b) i ( i – 1)
c) i + 1
d) 4 + 3i
If the equations ax2 + bx + c = 0 and z2 + 2z + 3 = 0 have a common root where a, b, c ε ℝ then a : b : c is
a) 1 : 2 : 3
b) 3 : 2 : 1
c) 3 : 1 : 2
d) 2 : 3 : 1
The value of 2. is