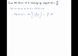
Find the locus of point z which satisfies the inequality
|z – 1| < |z – 2|
My Self Assessment
a) Portion of the z–plane lying to the left of the line x = 3/2
Find the locus of point z which satisfies the equality
Find the locus of point z which satisfies the inequality |z| ≤ 2,
Determine z which satisfies the equation |z|2 + 2iz – i |1 + i|2 = 0
Determine z which satisfies the equation
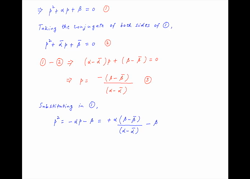
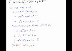
Show that the roots of the equation z2 + αz + β = 0 where α, β are complex numbers are real if
Show that the roots of the equation z2 + αz + β = 0 where α, β are complex numbers are purely imaginary if
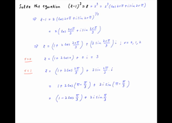
Solve the following equation (z – 1)3 = 8
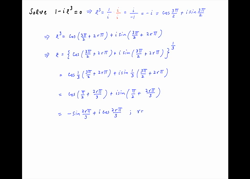
Solve the following equation 1 – iz3 = 0
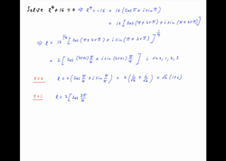
Solve the following equation z4 + 16 = 0
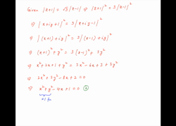
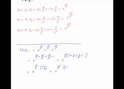
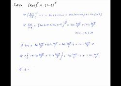
Solve the following equation (z + 1)5 = (1 – z)5
If α, β, γ are the cube roots of a positive number p then show that for any real number x, y, z
If then prove that = −1
Show that for integer m and real p,
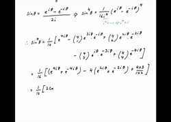
Using De Moivre’s theorem, show that
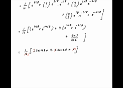
Simplify T = (1 + i tanθ)n + (1 − i tanθ)n
where n is a positive integer. Evaluate
If n = 2, 3, 4. . ., show that i) ii)
The position vectors of the point A, B and C of triangle ABC are given by = 1 + 2i, = 4 – 2i and = 1 – 6i respectively. Prove that ABC is an isosceles triangle and find the lengths of sides.
Find the complex number in the following case 0 < Re (iz) < 1
Find the complex number in the following case − 1 < Im (z) < 1
Find the complex number in the following case
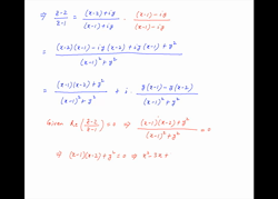
Find the set of points P (x, y) in the complex plane such that
Let = 1 + i and = − 1 – i. Find ℂ such that triangle , , is equilateral.