Find the values of z for which
My Self Assessment
a) Union of the two circles x2 + y2 – 2y – 1 = 0 and x2 + y2 + 2y – 1 = 0
Prove that if || = || = 1 and ≠ − 1 then is a real number.
Compute
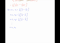
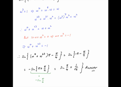
If ω be the cube root of unity then the value of is
a)
b)
c)
d)
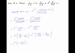
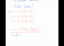
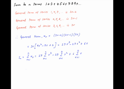
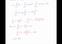
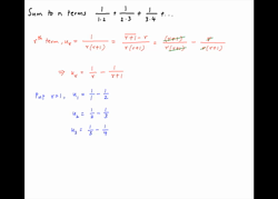
Find the sum to n terms
Sum to n terms 1.5 + 2.6 + 3.7 + . . . .
Sum to n terms
Sum to n terms 1.2.4 + 2.3.5 + 3.4.6 + . . . .
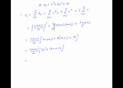
Sum to n terms 1.2.3 + 4.5.6 + 7.8.9 + . . . .
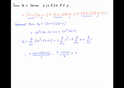
Sum to n terms 2.1 + 5.3 + 8.5 + . . . .
Find the value of
a) 2926
b) 1826
c) 2026
d) 2126
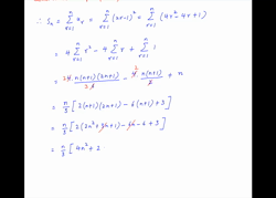
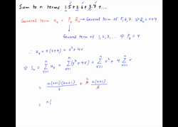
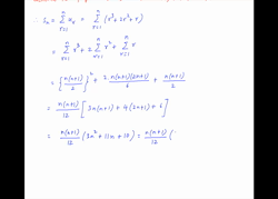
Sum to n terms 1.n+2.(n – 1) + 3.(n – 2) + . . . .
Find the sum of the products, taken two together of the first n natural numbers.
a) (3n + 2)
b) (3n + 2)
Sum up to n terms 1.1! + 2.2! + 3.3! + 4.4! + . . . .
a) n! – 1
b) (n + 1)! – 1
c) (n +2)! – 1
d) (n – 1)! + 1
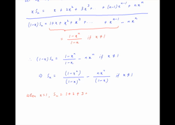
Sum up to n terms
Sum up to n terms and up to infinity
Sum up to n terms and infinity
Solve the system x + y + z = 1, xyz = 1 knowing that x, y, z are complex numbers of absolute value equal to 1.
a) 1
b) i
c) – i
d) All of the above