Fill in the blank
If the product of the roots of the equation is 7 Then the roots are real for ………….
My Self Assessment
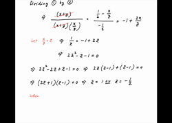
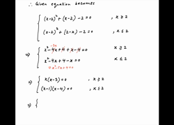
a) k = 2
The solution of the equation is …………..
If the quadratic equation and have a common root then the numerical value of a + b is …………
There are exactly two distinct linear functions ………. and ………. which map {−1, 1} onto {0, 2}.
If α, β, γ are the cube roots of P, P < 0, then for any x, y, z, ………..
If x < 0, y < 0, and then x ……….. and y ………..
The sum of the real roots of the equation is ………..
The least value of the expression for x > 1 is
a) 10
b) 2
c) −0.01
d) none of these
If then x lies in the interval
a) (2, ∞)
b) (1, 2)
c) (−2, −1)
d) None of these
The number is
a) an integer
b) a rational number
c) an irrational number
d) a prime number
(Subjective problem)
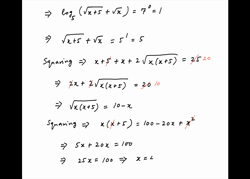
Solve where a > 0, b = a2x.
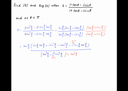
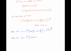
Find |z| and Arg (z) when
Prove that the complex numbers z1, z2 origin form an equilateral triangle only if
Show that equation of the form where a and r are real constants and represents a straight line if a = 0 and circle if a ≠ 0.
Find |z| and Arg (z) when and – π < θ < 0
Find |z| and Arg (z) when and 0 < θ < π
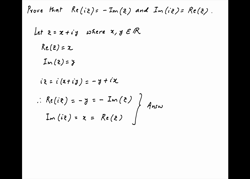
Prove that Re (iz) = −Im(z) and Im (iz) = Re (z)
If |z1| = |z2| = . . . = |zn| = 1 then show that
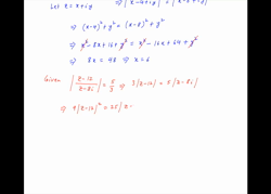
Let and are two non-zero complex numbers. If both + and are real then either and are real or
Let z1 and z2 are two non-zero complex numbers. If |z1 + z2| = |z1 – z2| then show that i.e. the ratio z1/z2 is purely imaginary.
Find complex numbers z which simultaneously satisfy the equations and
Given that ≠ 0 show that if and only if arg () – arg () = 2nπ for any integer n.
If α + iβ is a root of the polynomial Pn (z) = zn + zn – 1 + . . . + z + = 0
Then show that α – iβ is also a root of Pn(z) = 0 where the coefficients , , , . . ., are real.