Let S is the set of all real x, such that is positive, then S contains
a)
b)
c)
d)
Your Answer
The equation has
a) At least one real solution
b) Exactly three real solutions
c) Has exactly one irrational solution
d) Complex roots
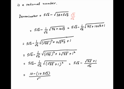
Show that square of is a rational number.
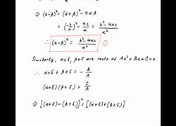
Prove if α, β are roots of the equation and γ, δ are roots of then show that
Show that for for any triangle with sides a, b, c 3 (ab + bc + ac) ≤ (a + b + c)2 < 4 (ab + bc + ca)
If one root of is equal to the power of the other then show that
Find all the real values of x which satisfy and .
If a > 0, b > 0, c > 0, prove that
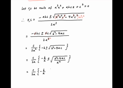
Solve for x
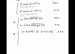
For a ≤ 0, determine all real roots of the equation
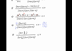
Find the set of all x for which
Let be roots of the equations and respectively. If the system of equations and have non-trivial solutions then prove that
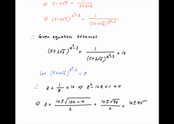
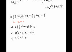
Solve for x in the following equation
Solve
If α, β are roots of and are roots of for some constant δ, then prove that
For every positive integer n, prove that Hence or otherwise prove that Where [ ] denotes greatest integer not exceeding x.
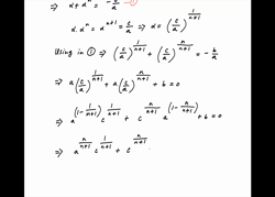
Let a, b, c be real numbers with a ≠ 0 and let α, β be roots of the equation . Express the roots of in terms of α, β.
If is the area of a triangle with sides a, b, c then show that . Also show that equality occurs if a = b = c
where a, b ε R then find the value of a for which equation has unequal roots for all values of b.
Let a and b the roots of the equation and those of are c and d, then find the value of a + b + c + d when a ≠ b ≠ c ≠ d.
The equation has an irrational root.
a) False
b) True
If a < b < c < d then the roots of the equation are real and distinct.
a) True
b) False
If x and y are positive real numbers and m and n are any positive integers then
Fill in the blanks
If is a root of the equation where p and q are real then (p, q) …………