If ω is a solution of x3 – 1 = 0 with Im(ω) > 0. If a = 2 and b, c (ε ℝ) satisfy the equations then the value of is equal to
My Self Assessment
a) – 2
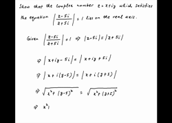
The complex number z = x + iy which satisfies the equation lies on
a) The real axis
b) The straight line y = 5
c) Circle passing through origin
d) None of these
If then
a) Re(z) = 0
b) Im(z) = 0
c) Re(z) = 0, Im(z) > 0
d) Re(z) > 0, Im(z) < 0
The inequality |z – 4| < |z – 2| represents the region given by
a) Re(z) ≥ 0
b) Re(z) < 0
c) Re(z) > 0
The complex numbers sinx + icos2x and cosx – isin2x are conjugate to each other for
a) a = nπ
b) x = 0
c) x =
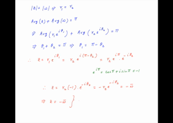
Let z and ω be two non zero complex numbers such that |z| = |ω| and Arg(z) + Arg(ω) = π then z equals
a) ω
b)
c)
d)
For positive integers n1 and n2 the value of the expression where is real if and only if
a)
The value of the definite integral is
a) – 1
b) 2
Let then the real roots of the equation
are
a) ± 1
d) 0 and 1
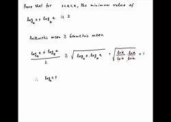
For 0 < a < x the minimum value of the function logax + logxa is 2.
a) True
b) False
Let for n ≥ 2 and
Then equals
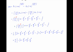
Evaluate where n is a positive integer and t is a parameter independent of x.
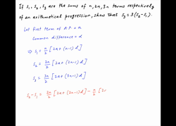
If are the sums of terms respectively of an arithmetic progression show that .
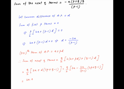
In an arithmetic progression of which a is the first term, if the sum of the first p terms = 0, show that the sum of the next q terms is equal to
Find an arithmetic progression whose first term is unity such that the second, tenth and thirty fourth sums form a geometric progression.
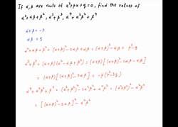
If α, β are roots of , find the values of
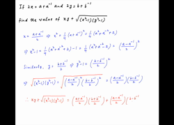
If 2x = and 2y = find the value of
If α, β are imaginary cube roots of unity show that
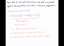
Show that if is a perfect square, the quantities a, b, c are in harmonic progression.
The sum of four numbers in arithmetic progression is 48 and the product of their extremes is to the product of their means as 27 to 35. Find the numbers.
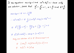
If the equations ax + by 1 and have only one solution prove that and and
If a, b, c, x, y, z are real quantities and , show that and
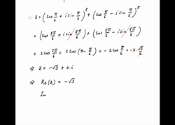
Show that
The arithmetic mean between m and n and the geometric mean between a and b are each equal to ; find m and n in terms of a and b.