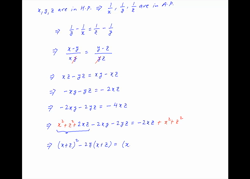
If x, y, z are in harmonic progression show that
My Self Assessment
If x, y, z are such that their sum is constant and if ( z + x – 2y ) ( x + y – 2z ) varies as yz, prove that 2 ( y + z ) – x varies as yz.
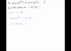
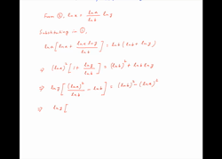
If , show that
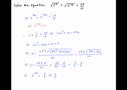
Solve the equation
Given ln2 = 0.30103 and ln3 = 0.47712. Solve the equation
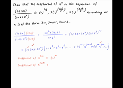
Show that the coefficient of in the expansion of is according as n is of the form 3m, 3m + 1, 3m + 2.
If is greater than 5x – 1 and less than 7x – 3, find the integral value of x.
Find the value of the infinite series
Show that the coefficient of in the expansion of in ascending powers of x is
Find the generating function, the sum to n terms and the nth term of the recurring series
If a, b, c are all real quantities and is divisible by (x – a) and also by (x – b), prove that either a = b = c or a = – 2b = – 2c.
Show that the sum of squares of three consecutive odd numbers increased by 1 is divisible by 12 and not by 24.
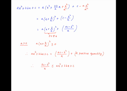
Show that is greatest or least value of according as a is negative or positive
If and is not greater than 1, show that
If Prove that
If a > b > 0 and n is a positive integer prove that
Find the sum of the first n terms of the series whose rth term is
Solve
If s is the sum of n positive unequal quantities then show that
If α, β are roots of and γ, δ are roots of show that
In England one person out of 46 is said to die every year and one out of 33 is born. If there were no emigration, in how many years would the population double itself at this rate.
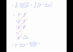
Find the sum to infinity of the series whose nth term is
Find the sum of the series 6, 24, 60, 120, 210, 336, . . . . . . to n terms.