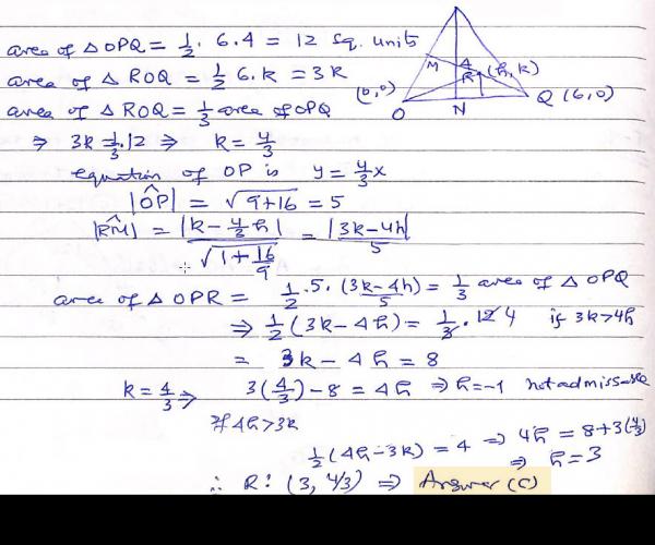
Let O (0, 0), P (3, 4), Q (6, 0) be the vertices of the triangle OPQ. The point inside the triangle OPQ is such that OPR, PQR, OQR are of equal area. The coordinates of R are
a)
b)
c)
d)
Your Answer
If then
a) True
b) False
lies between –4 and 10.
2sinx + tanx > 3x where 0 ≤ x ≤
Prove that = 2[cosx + cos3x + cos5x + … + cos(2k−1)x] for any positive integer k. Hence prove that =
Determine the smallest positive value of x (in degrees) for which
a) 30°
b) 50°
c) 55°
d) 60°
Find the smallest possible value of p for which the equation
Find the larger of cos(lnθ) and ln(cosθ) if < θ < .
a) cos(lnθ)
b) ln(cosθ)
c) Neither is larger throughout the interval
The real roots of the equation x + = 1 in the interval (−π, π) are …...........
a) x = 0
b) x = ±
c) x = 0 , x = ±
If are in harmonic progression then …………
a) 1
If
then x equals
b) 1
d) –1
Let a, b, c be three positive real numbers and Then tan θ = ………..
a) 0
c) 2
d) 3
The greater of the two angles and is
a) A
b) B
c) Both are equal
Match the following
Let (x, y) be such that
=
Column 1
Column 2
i) If a=1 and b=0 then (x, y)
A)Lies on the circle +=1
ii) If a=1 and b=1 then (x, y)
B)Lies on (−1)(−1) = 0
iii) If a=1 and b=2 then (x, y)
C)Lies on y = x
iv) If a=2 and b=2 then (x, y)
D)Lies on (−1)(−1) = 0
One angle of an isosceles triangle is 120 and the radius of its incircle = . Then the area of the triangle in square units is
d) 2π
Multiple choice
There exists a triangle ABC satisfying the conditions
a) bsinA = a, A <
b) bsinA > a, A >
c) bsinA > a, A <
d) bsinA < a, A <, b > a
e) bsinA < a, A >, b = a
One or more correct answers In a triangle the length of the two larger sides are 10 and 9 respectively. If the angles are in arithmetic progression then the length of the third side can be
c) 5
e) None of these
One or more correct answers In triangle ABC the internal angle bisector of ∠A meets the side BC in D. DE is a perpendicular to AD which meets AC in E and AB in F. Then
a) AE is harmonic mean of b and c
b) AD
d) Δ AEF is isosceles
For a triangle ABC it is given that , then Δ ABC is equilateral.
With usual notation if in a triangle ABC, then
.
A ladder rests against a wall at an angle α to the horizontal. If its foot is pulled away from the wall through a distance a, so that it slides a distance b down the wall making an angle β with the horizontal, then .
Find the set of all values of a such that are sides of a triangle.
a) (0, 3)
b) (3, ∞)
c) (0, 5)
d) (5, ∞)
If in a triangle ABC, cosA cosB + sinA sinB sin C = 1 then show that a : b : c = 1 : 1 :
The sides of a triangle are three consecutive natural numbers and its largest angle is twice the smallest one. Determine the sides of triangle.
a) 3, 4, 5
b) 4, 5, 6
c) 4, 5, 7
d) 5, 6, 7