All BASICSTANDARDADVANCED

Question 97

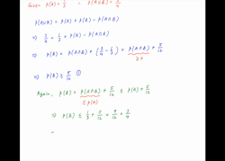
A team of 8 couples, (husband and wife) attend a lucky draw in which four persons are picked for a prize. Then the probability that there is at least one couple is


a)

b)

c)

d)

Your Answer

ABCD   CLEAR