All BASICSTANDARDADVANCED

Question 636

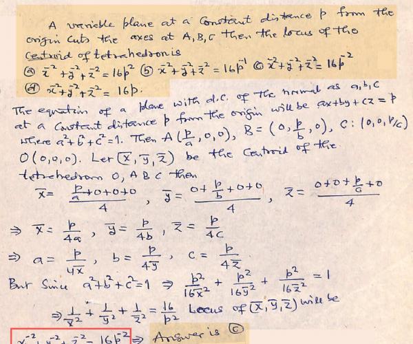
A variable plane at a constant distance p from the origin cuts the axes at A, B, C then the locus of the centroid of tetrahedron is


a) x−2 + y−2 + z−2 = 16p2

b) x−2 + y−2 + z−2 = 16p−1

c) x−2 + y−2 + z−2 = 16 p−2

d) x−2 + y−2 + z−2 = 16 p

Your Answer

ABCD   CLEAR


×